Angler diary monitoring of recreational target fish stocks in selected Victorian estuaries

Download the PDF version of this document Recreational Fishing Grant Program – Research report
Recreational Fishing Grant Program – Research report
Project numbers: 5/05/06/1, 06/07/3 and 07/08/14.
Simon Conron, Natalie Bridge, Daniel Grixti, Matt Ward and Thérèse Stokie.
APRIL 2010
Table of Contents
Executive Summary
Anderson Inlet
Mallacoota Inlet
Lake Tyers
Glenelg River estuary
Hopkins River estuary
Introduction
Fisheries Management Plans
Angler fishing diary programs
Purpose of this report
General methods
Anglers
Angler fishing diary programs
Age estimation
Key species and water bodies
Data analysis
Anderson Inlet Fisheries Reserve Management Plan
Methods
Results
Estuary Perch
Targeting preference and catch composition, Anderson Inlet.
Mallacoota Inlet Fisheries Reserve Management Plan
Methods
Results
Black bream
Dusky flathead
Targeting preference and catch composition, Mallacoota Inlet.
Lake Tyers Fisheries Reserve Management Plan Methods
Results
Black bream
Dusky Flathead
Targeting preference and catch composition, Lake Tyers.
Glenelg Hopkins Fisheries Management Plan
Methods
Glenelg River estuary
Black bream
Estuary perch
Mulloway
Targeting preference and catch composition, Glenelg River estuary.
Hopkins River estuary
Black bream
Estuary perch
Targeting preference and catch composition, Hopkins River estuary.
Discussion
Anderson Inlet
Mallacoota Inlet
Lake Tyers
Glenelg River estuary
Hopkins River estuary
Conclusions
Acknowledgements
References
Appendix 1 Angler fishing diaries
General angler diary
Research angler diary
Executive Summary
Since 2006, a number of formal Fishery Management Plans (FMPs) have been established to guide the management of recreational-only fisheries in smaller Victorian estuaries. These FMPs have specified the need to establish or maintain volunteer angler diary programs as a cost- effective means of monitoring
  fishery trends and assessing the status of key target fish stocks.
This report presents a time series of information on fishery trends and the status of key target species from angler diary programs in Anderson Inlet, Mallacoota Inlet, Lake Tyers and the Glenelg and Hopkins River estuaries. It consolidates all data from the commencement of angler diary
  monitoring in each estuary up until 2008/09, and includes outputs from several projects (5/05/06/1, 06/07/3 and 07/08/14) funded jointly by the Recreational Fishing Licence Trust Fund and Fisheries Victoria.
Research anglers targeted key species identified in FMPs and provided a time series
  of information on catch rates, length and age structure of the target population, the relative strength of successive year classes, and patterns of recruitment to the fishery. General diary anglers also provided catch rate and size data for target species and information on recreational fishing target
  preferences and catch composition in particular estuaries.
Key findings for individual estuaries were as follows:
Anderson Inlet
During the period 2005/06 to 2008/09, mean catch rates of research and general angler diarists targeting estuary perch in Anderson Inlet were comparatively stable in the range of 3–5 fish per angler hour. Catch measurements indicate a wide size and age range of estuary perch, including a substantial portion of fish more than 10 years old or 35 cm in Total Length (TL). There is also some evidence of pre-recruits, below the Legal Minimum Length (LML), that are expected to recruit to the fishery in the next few years. Further evidence of strong year classes of juvenile estuary perch is provided by a separate scientific survey of Anderson Inlet fish populations undertaken in 2006/07 (Conron et al. 2010).
- These data suggest that the Anderson Inlet estuary perch population is currently in a healthy condition, but a longer time series of data is needed to better understand the range of fluctuations in the stock status of this species to improve confidence in the use of these data for fishery management decision making.
- The size composition of estuary perch reported by diarists suggests that the effectiveness of angling in catching estuary perch starts to diminish at sizes below 25 cm TL; very few fish below 20 cm TL were recorded. If information on the abundance of small juvenile estuary perch is required it may have to be obtained using other scientific sampling methods.
Anglers recruited as general angler diarists had a narrower range of preferred target species than the general Anderson Inlet angler population, as indicated by a comparison with the results of a 2007/08 recreational fishing access point survey (Conron et al. 2010). Estuary perch, snapper and silver trevally were important target species for general angler diarists, but were only minor target species for Anderson Inlet anglers in general. The variety of species caught by general angler diarists, and the proportion of fish released, was more consistent with that for the broader Anderson Inlet angler population. Additional general angler diarists targeting King George whiting and flathead would better reflect trends in the fishery.
Mallacoota Inlet
During 1997/98 to 2008/09, mean catch rates of research anglers targeting black bream in Mallacoota Inlet ranged from 2–5 fish per angler hour. The catch rate was variable but stable and influenced by the strength of abundant year classes (resulting from successful spawning seasons) in the fishery.
 
These data suggest that the Mallacoota Inlet black bream population is currently in a healthy condition. Black bream are characterised as having variable year class strength with variable recruitment of abundant year classes. These abundant year classes contribute greatly to the fishery.
  Black bream catch rates are therefore expected to fluctuate more than the catch rates for fish species characterised by a more constant level of annual recruitment.
 
Catch measurements show a wide size and age range of black bream in Mallacoota Inlet and indicate that a moderate level
  of recruitment has occurred over the past 11 years, marked with occasional years of greater spawning success. Pre-recruits below the LML (28 cm TL) in 2008/09, suggest a moderate level of recruitment to the fishery over the next few years.
The size composition of black bream reported by diarists
  suggests that anglers are effective in catching black bream below the LML (28 cm TL). This information on the abundance of small juvenile black bream enables predictions to be made about future recruitment to the fishery.
 
During 1998/99 to 2008/09, mean catch rates of research and general
  angler diarists targeting dusky flathead in Mallacoota Inlet were comparatively stable with greater variability in the past 5 years. The mean catch rate (fish per angler hour) in 2008/09 (4) was comparable to the five year average (3) and higher than the ten year average (2). Dusky flathead are a faster
  growing, shorter lived species compared with black bream. Dusky flathead ranged in length from 17 to 80 cm TL and in age from 1+ to 10+ years; the majority of fish caught during 2007/08–2008/09, were 3+ to 5+ years old.
- The size composition of dusky flathead reported by diarists suggests that the effectiveness of catching dusky flathead starts to diminish at sizes below 30 cm TL; very few fish below 25 cm TL were recorded. If information on the abundance of small juvenile dusky flathead is required, it may have to be obtained using other scientific sampling methods.
Anglers recruited as general angler diarists predominantly targeted black bream and dusky flathead in Mallacoota Inlet, as did the general Mallacoota Inlet angler population, as indicated by a recreational fishing access point survey undertaken in December 2006–October 2008 (Kent et al. 2010). During the summer period a range of other species were also targeted on occasion.
Lake Tyers
- During 2002/03 to 2008/09, mean catch rates of research anglers targeting black bream in Lake Tyers were comparatively stable and ranged from 2–5 fish per angler hour. Mean catch rates in 2008/09 were comparable with both the 5- and 10-year average catch rates.
- The length (11–45 cm TL) and age (1–23 years) distributions of black bream in Lake Tyers indicate there has been two abundant year classes which resulted from successful spawning seasons in 1998/99 and 1999/2000. These year classes have sustained the black bream fishery in Lake Tyers over the past seven years.
- Spawning and recruitment of black bream in Lake Tyers has not been as successful since the 1999/00 spawning season. During 2008/09, the majority of black bream were greater than 30 cm TL, and more than 8 years old. Catch rates are expected to decline until the next successful spawning season occurs.
- During 1999/00 and 2004/05, mean catch rates of research and general anglers targeting dusky flathead increased in Lake Tyers. Mean catch rates then fluctuated over the next four years. The mean catch rate in 2008/09 was lower than the 5-year average and similar to the 10-year average. Dusky flathead are a fast growing shorter lived species, the majority of fish were 2+ to 4+ years of age; few fish were older than 6+ years.
Over the past 10 years there has been a decline in the proportion of larger dusky flathead (≥ 50 cm TL) in Lake Tyers. The majority of these larger fish are female. This trend has occurred despite evidence of reasonably strong year classes over recent years (2001/02–2005/06) supporting the
  fishery and relatively stable catch rates. While this declining trend in large flathead may be attributable to variable reproductive success and recruitment in past years, it is more likely to be due to increased targeted fishing pressure on large flathead in recent years.
 
Further research into sexual maturity and egg production of female dusky flathead in eastern Victorian estuaries is needed to better understand the biology of this species.
Glenelg River estuary
Anglers recruited as general angler diarists predominantly targeted mulloway and black bream in the Glenelg River estuary during 2006/07 to 2008/09. Estuary perch were only targeted occasionally.
   
During 2007/08 to 2008/09, mean catch rates of research anglers targeting black bream in the Glenelg River estuary were higher (6–7 fish per angler hour) when compared with the 6-year period (1997/98–2002/03) (0–1 fish per angler hour). The size and age
  composition also differed greatly between the two time periods. No data are available from 2003/04 to 2006/07.
   
Recruitment failure over a 9-year period (1985/86–1993/94) influenced the structure of the black bream stock in the Glenelg River estuary. During 1997/98 to
  1998/99, the majority of black bream were larger fish (spawned prior to 1985/86) with few smaller bream present. Spawning success increased in later years, with two abundant year classes spawned in 1997/98 and 2005/06. In 2008/09, over 90% of bream were below the LML (28 cm TL) and over half of all bream
  caught were spawned during the 2005/06 season.
   
Although catch rates have increased in the past two years, the majority of fish caught were undersize and had to be released. Size and age composition data suggest that the proportion of bream, above the LML, will increase in
  the next 1–2 years when fish from the abundant 2005/06 year class reach legal size.
   
Catch rates of mulloway are relatively low compared with other species, with one fish caught every three hours on average. The catch rate in 2008/09 was comparable with the 5- and 10-year
  averages. The length (40–98 cm TL) and age (2+ to 6+ years) distributions of mulloway from 2007/08 to 2008/09 indicate that mulloway are a fast growing fish with few year classes present in the fishery at any one time.
   
Estuary perch were identified as a key target species
  in the FMP; however, few general angler diarists chose to target them and they contributed to only 1% of the catch. Further research is needed to determine whether estuary perch are a key species in the Glenelg River estuary and if so, future monitoring is required to determine the status of the species.
Hopkins River estuary
Anglers recruited as general angler diarists predominantly targeted black bream and estuary perch in the Hopkins River estuary during 2006/07 to 2008/09. The majority of both species were released as a high proportion of black bream and estuary perch are currently below the LML.
     
During the period 1997/98 to 2008/09, mean catch rates of research anglers targeting black bream in the Hopkins River estuary have increased. This has been influenced by the strength of the 1998/99 successful spawning season. There has been a constant level
  of pre-recruits over the past 12 years. In 2008/09, 84% of black bream were below the LML (28 cm TL). These fish are expected to recruit to the fishery in the next few years.
     
During the period 1999/00 to 2008/09, mean catch rates of research and general angler
  diarists targeting estuary perch in the Hopkins River estuary were comparatively stable in the range of 0–1 fish per angler hour, except for 2000/01 which had a higher catch rate (3). In 2008/09, the majority of estuary perch were below the revised LML (27 cm TL) and 4+ to 6+ years old. These fish
  are expected to recruit to the fishery in the next few years.
Introduction
Fisheries Management Plans
Fisheries Management Plans (FMPs) specify the objectives, strategies and performance measures for managing fishing activities within a water body. They identify specific actions required by stakeholders and management agencies, including on-going monitoring and assessment projects (DPI 2006 a, b, c. DPI 2007).
FMPs have been developed and implemented under the requirements of the Victorian Fisheries Act 1995, ministerial guidelines and the principles of Ecologically Sustainable Development (ESD) for a number of Victorian waters including the:
- Anderson Inlet Fisheries Reserve
- Mallacoota Inlet Fisheries Reserve
- Lake Tyers Fisheries Reserve
- Estuaries and inland waterways of the Glenelg–Hopkins CMA area.
The biological objective of the FMPs is to conserve key fishery stocks and ensure sustainable fishing. Angler fishing diary programs were identified as one of the tools to be used to meet this objective. The FMPs recommended that angler fishing diary programs were implemented, maintained or expanded in Anderson Inlet, Mallacoota Inlet, Lake Tyers and the Glenelg and Hopkins River estuaries.
The FMPs identified the key species in each waterbody. These species were:
- Black bream (Acanthopagrus butcheri) –in all estuaries except Anderson Inlet
- Estuary perch (Macquaria colonorum) in Anderson Inlet and the Glenelg and Hopkins River estuaries
- Dusky flathead (Platycephalus fuscus) – in Mallacoota Inlet and Lake Tyers
- Mulloway (Argyrosomus japonicus) – in the Glenelg River estuary.
Angler fishing diary programs
Experienced volunteer anglers contributed to the program as either a research or general angler. Research anglers were required to alter their fishing techniques to target key species both above and below the Legal Minimum Length (LML). General anglers recorded information about their own fishing trips.
Angler fishing diary programs were used to assess the status of key fish stocks in Anderson Inlet, Mallacoota Inlet, Lake Tyers and the Glenelg and Hopkins River estuaries.
Purpose of this report
This report presents a time-series of information on fishery trends and the status of key target species from angler diary programs in Anderson Inlet, Mallacoota Inlet, Lake Tyers and the Glenelg and Hopkins River estuaries. It consolidates all data from the commencement of angler diary monitoring in each estuary up until 2008/09, and includes outputs from several projects (5/05/06/1, 06/07/3 and 07/08/14) funded jointly by the Recreational Fishing Licence Trust Fund and Fisheries Victoria.
This report presents recreational catch and effort data for each waterbody to monitor trends in:
- Catch rates (fish per angler hour)
- Length and age structure of the stock
- Levels of recruitment and year class strength
General methods
Anglers
The anglers recruited to the program were volunteers with a high degree of fishing expertise and an excellent knowledge of their preferred fishery. Recruitment of participants was promoted through newsletters to fishing clubs, newspaper articles and general word of mouth" by department staff and anglers already involved in the program.
Angler fishing diary programs
Experienced volunteer anglers contributed to either the 'general' or 'research' angler fishing diary program. All anglers recorded:
- Time spent fishing
- Fishing location
- Species targeted and caught
- Fish lengths
- Number of rods
- Bait and hook type/sizes used.
Detailed catch information were recorded in diaries (Appendix 1).
Anglers were instructed to record lengths, rounded down to the nearest whole centimetre. Total length (TL) was recorded for species with truncate of rounded caudal fins (including mulloway and dusky flathead). Fork length (FL— distance from the tip of the snout to the base of the tail
  fin) was recorded for species with emarginate or forked caudal fins (including black bream and estuary perch).
Anglers were asked to record every trip to minimise non-reporting of poor catches. Otolith samples were collected for ageing.
Age estimation
The age of fish caught by research anglers was determined by counting growth rings in otoliths (ear bones), similar to those seen in tree trunks. To determine the age, otoliths were prepared and aged following standard procedures (Morison et al. 1998), where one year of growth consists of a translucent and subsequent opaque zone.
The age distribution of black bream, estuary perch, dusky flathead and mulloway were determined. The spawning year of each fish was determined to identify strong/abundant year classes resulting from successful spawning seasons.
Key species and water bodies
Key recreational fishing species identified in FMPs are shown in Table 1.
Table 1. Key recreational species identified in Fishery Management Plans.
| Water body | Key recreational species | 
|---|---|
| Anderson Inlet | Estuary perch | 
| Mallacoota Inlet | Black bream Dusky flathead | 
| Lake Tyers | Black bream Dusky flathead | 
| Glenelg River estuary | Black bream stuary perch Mulloway | 
| Hopkins River estuary | Black bream Estuary perch | 
Data analysis
Catch information was entered into separate Access databases for the research and general angler diary programs. Research angler data were used to generate length and age composition data and catch rates for key species in Anderson Inlet, Mallacoota Inlet, Lake Tyers and the Glenelg and Hopkins River estuaries. General angler data were used to determine targeting preference of anglers and catch composition in each waterbody.
Mean catch rates were calculated for key species (retained and released fish) from targeted fishing trips using the ratio-of-means estimator (Jones et al. 1995). Confidence limits were calculated using the survey means procedure in SAS version 9.1 (SAS Institute Inc. 2004) on log-transformed data and then back transformed.
Length and age distributions (retained and released fish) were generated by species and water body. Results are presented by financial year, considered the best representation of a single fishing season.
Anderson Inlet Fisheries Reserve Management Plan
The purpose of the angler diary program for Anderson Inlet was to identify the main fishing target species, monitor fishery trends and the status of key target species to ensure sustainable fisheries use of these resources (DPI 2006a).
Methods
Research and general diary anglers targeting estuary perch in Anderson Inlet from 2005/06 to 2008/09 provided a time-series of information on catch rates, size and age composition of the population. There were no data collected during 2007/08.
General diary anglers provided information on targeting preference and catch composition for the past three years combined (2006/07–2008/09).
Results
ESTUARY PERCH
Catch rate
Mean catch rates (fish per angler hour) of estuary perch in Anderson Inlet from 2005/06 to 2008/09 were comparable between years, suggesting the catch rate is variable but stable (Figure 1). The catch rate in 2008/09 (2.75) was lower than the three year average (3.83).
Length and age composition
Estuary perch caught by diary anglers in Anderson Inlet ranged from 12 to 53 cm TL (Figure 2). Few fish were measured in 2005/06; no fish were measured in 2007/08.
In 2006/07, estuary perch below the LML (25 cm TL) comprised 16% (2006/07) of the catch. The LML was revised and the new LML of 27 cm TL became effective in March 2009. In 2008/09, estuary perch below the new LML (27 cm TL) comprised 32% of the catch.
The length-frequency distribution of estuary perch in 2008/09 shows evidence of pre-recruits close to the LML. These fish are expected to recruit to the fishery in the next few years.
Estuary perch caught by research anglers in Anderson Inlet ranged from 1+ to 30+ years of age (Figure 3). There was a higher proportion of older estuary perch (> 10 years) caught in 2006/07 (67%) compared with 2008/09 (37%) (Figure 3). The modal age of estuary perch was 16 years (spawned in 1989/90) in 2006/07 and 4 years (spawned in 2004/05) in 2008/09.

Figure 1. Estimated mean catch rates (± 95% confidence limits) of estuary perch caught by diary anglers fishing in Anderson Inlet from 2005/06–2008/09. No data available from 2007/08.

Figure 2. Length (TL)-frequency distribution of estuary perch caught by diary anglers fishing in Anderson Inlet from 2005/06–2008/09 (n=number of fish measured). Fish below the Legal Minimum Length (LML) are indicated by black bars. Fish above the LML are indicated by grey bars. No data available for 2007/08.
*The LML for estuary perch (25 cm) was revised and the new LML of 27 cm TL became effective in March 2009.

Figure 3. Age frequency distribution of estuary perch caught by diary anglers fishing in Anderson Inlet in 2006/07 and 2008/09. No data available for 2007/08.
TARGETING PREFERENCE AND CATCH COMPOSITION, ANDERSON INLET.
Summer
Snapper (53%) and estuary perch (33%) were targeted most frequently by general anglers over the three summers (2006/07–2008/09) in Anderson Inlet (Figure 4). King George whiting (7%) and other species (7%) were also targeted.
Estuary perch (41%, all released) and flathead (37%, 91% were released) were the most commonly caught species (Figure 5). Catches of silver trevally (9%), snapper (7%), King George whiting (4%), Australian salmon (2%), gummy shark (<1%) and tailor (<1%) were also recorded.
Although snapper were targeted in 53% of trips, they contributed to only 7% of the catch (72% were kept). Over 87% of all fish caught during summer in Anderson Inlet were released.
Autumn and Winter
Estuary perch were targeted most often during the autumn (88%) and winter (100%) periods (2006/07–2008/09) although data were limited during this period (Figure 4).
The catch consisted almost entirely of estuary perch during autumn (99%) and winter (100%) (Figure 5). In autumn, 99% of estuary perch caught were released. Few anglers also caught silver trevally (1%).
Spring
General diary anglers targeted snapper (50%), silver trevally (38%) and estuary perch (13%) during spring (2006/07–2008/09) in Anderson Inlet (Figure 4).
Despite snapper being targeted in almost half of all trips during spring, none were caught (Figure 5). Silver trevally made up 49% of the catch, the majority of these were kept (84%). Australian salmon (20%, 78% released), flathead (19%, all released), estuary perch (11%, all released) and gummy shark (2%) were also caught.

Figure 4. Species targeted (%) by general angler diarists fishing in Anderson Inlet from 2006/07–2008/09 (n=number of species targeted).

Figure 5. Catch composition (%) of fish caught (kept and released) by general angler diarists fishing in Anderson Inlet from 2006/07–2008/09 (n=number of fish caught).
Mallacoota Inlet Fisheries Reserve Management Plan
The Mallacoota Inlet Fisheries Reserve Management Plan (DPI 2006b) concluded that current levels of fishing in the inlet were sustainable. Future monitoring programs were to focus on recreational fishing activities and the status of the two recreational target species: dusky flathead and black bream.
The angler diary program was used to assess the status of black bream and dusky flathead stocks to ensure sustainable fishing as well as monitoring the catch composition and trends for other fishery species (Strategies 4 and 5, DPI 2006b).
Methods
Research diary anglers targeted black bream in Mallacoota Inlet from 1997/98 to 2008/09, providing a time-series of information on catch rates, size and age composition of the population. Dusky flathead data were compiled using catch information from both research and diary anglers from 1998/99 to 2008/09.
General diary anglers provided information on targeting preference and catch composition in Mallacoota Inlet for the three years combined (2006/07–2008/09).
Results
BLACK BREAM
Catch rate
Mean catch rates (fish per angler hour) of black bream in Mallacoota Inlet ranged from 1.87 (1999/2000) to 5.42 (2004/05) (Figure 6). Catch rates of black bream increased from 1999/00 to 2004/05. Over the five years (2004/05–2008/09) catch rates fluctuated between 3.98 and 5.42. The catch rate in 2008/09 (3.98) was comparable with the average catch rate over the past ten years (4.08) but lower than the past five years (4.77).
Length and age composition
Black bream caught in Mallacoota Inlet ranged from 10 to 44 cm TL. Black bream below the LML (26 cm TL) comprised between 27% (2002/03) and 71% (2003/04) of the catch (Figure 7).
The LML (26 cm TL) was revised and the new LML of 28 cm TL became effective in March 2009. In 2008/09, black bream below the new LML (28 cm TL) comprised 39% of the catch. These fish are expected to recruit to the fishery in the next few years (Figure 7).
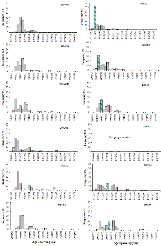
Black bream caught by research anglers in Mallacoota Inlet ranged from 1+ to 23+ years of age (Figure 8). In 2008/09, the majority (79%) of black bream were 3–9 years old.

Figure 6. Estimated mean catch rates (± 95% confidence limits) of black bream caught by research anglers fishing in Mallacoota Inlet from 1997/98–2008/09.

Figure 7. Length (TL)-frequency distribution of black bream caught by research anglers fishing in the Mallacoota Inlet from 1997/98–2008/09 (n=number of fish measured). Fish below the Legal Minimum Length (LML) are indicated by black bars. Fish above the LML are indicated by grey bars.
*The LML for black bream (26 cm) was revised and the new LML of 28 cm TL became effective in March 2009.

Figure 8. Age frequency distribution of black bream caught by research anglers fishing in Mallacoota Inlet from 1997/98–2008/09. The spawning season of abundant year classes have been shaded for tracking specific age cohorts across multiple sampling years.
DUSKY FLATHEAD
Catch rate
Mean catch rates (fish per angler hour) of dusky flathead in Mallacoota Inlet ranged from 0.21 (1999/00) to 6.56 (2004/05) (Figure 9).
Catch rates were stable with little variation from 1998/99 to 2003/04. Catch rates then fluctuated over the next 5 years, with large variation surrounding the 2004/05 and 2006/07 estimates.
The catch rate observed in 2008/09 (3.50) was comparable with the 5-year average (3.02) and higher than the 10-year average (2.00).
Length and age composition
Dusky flathead caught in Mallacoota Inlet ranged from 17 to 80 cm TL (Figure 10). The LML (25 cm TL) was revised and the new LML of 27 cm TL became effective in March 2009. Throughout the 11-year period, few undersize dusky flathead were caught. In 2008/09, 4% of the catch were below the LML; 1% were below the previous LML (25 cm). In 2008/09, the majority (59%) of dusky flathead ranged in length from 35 to 45 cm TL. The proportion of fish ≥ 50 cm TL, caught by research anglers, fluctuated over the past 9 years (Figure 10a). Fish of this size are predominately female.
Dusky flathead in Mallacoota Inlet ranged from 1 to 10 years of age (Figure 11). Two abundant year classes, produced from spawning seasons in 2003/04 and 2004/05, dominated the catch during 2007/08 and 2008/09. Dusky flathead spawned in these two years contributed 59% and 63% of the catch in 2007/08 and 2008/09, respectively.
Future recruitment to the fishery cannot be predicted as few small dusky flathead (<25 cm TL) are caught due to selectivity of the gear.

Figure 9. Estimated mean catch rates (± 95% confidence limits) of dusky flathead caught by diary anglers fishing in Mallacoota Inlet from 1998/99–2008/09.

Figure 10. Length (TL)-frequency distribution of dusky flathead caught by diary anglers fishing in Mallacoota Inlet from 1998/99–2008/09 (n=number of fish measured). Fish below the Legal Minimum Length (LML) are indicated by black bars. Fish above the LML are indicated by grey bars.
*The LML for dusky flathead (25 cm) was revised and the new LML of 27 cm TL became effective in March 2009.

Figure 10a. Proportion of dusky flathead ≥ 50 cm TL caught by diary anglers in Mallacoota Inlet from 2000/01–2008/09.

Figure 11. Age frequency distribution of dusky flathead caught by diary anglers fishing in Mallacoota Inlet from 2007/08–2008/09. The spawning season of abundant year classes have been shaded for tracking specific age cohorts across multiple sampling years.
TARGETING PREFERENCE AND CATCH COMPOSITION, MALLACOOTA INLET.
Summer
General diary anglers targeted black bream (48%) and dusky flathead (45%) most frequently during the three summers (2006/07–2008/09) in Mallacoota Inlet (Figure 12). Several other species were also targeted occasionally.
The majority of fish caught during summer were dusky flathead (46%, 17% released), black bream (31%, 24% released) and snapper (16%, 84% released) (Figure 13). Anglers also caught a small number of yellowfin bream, leatherjacket, luderick, whiting, Australian salmon, gummy shark, tailor, trevally and other species.
Autumn
Estuary perch were the only species targeted during autumn (2006/07–2008/09) (Figure 12).
The majority of fish caught were black bream (90%, 28% released) (Figure 13). Catches of snapper (7%), dusky flathead (2%) and luderick (< 1%) were also reported.
Winter
Estuary perch were the only species targeted during winter (2006/07–2008/09) although only limited data were available (Figure 12).
Over 81% of fish caught in winter were dusky flathead; 86% were released (Figure 13). Black bream (19%, all released) were also caught.
Spring
General diary anglers targeted dusky flathead (67%) and black bream (33%) during spring (2006/07–2008/09) in Mallacoota Inlet (Figure 12).
Dusky flathead were the most common species caught during spring (65%); all of these were kept (Figure 13). Tailor (18%, all kept), black bream (9%), luderick (3%) and other species (6%) were also caught.

Figure 12. Species targeted by general angler diarists fishing in Mallacoota Inlet from 2006/07–2008/09 (n=number of species targeted).
 Figure
Figure
13. Catch composition of fish caught (kept and released) by general angler diarists fishing in Mallacoota Inlet from 2006/07–2008/09 (n=number of fish caught).
Lake Tyers Fisheries Reserve Management Plan
The Lake Tyers Fisheries Reserve Management Plan (DPI 2007) concluded that current levels of fishing in Lake Tyers were sustainable.
The angler diary program was used to:
- Assess the status of dusky flathead and black bream stocks and ensure sustainable fishing
- Monitor catch composition and trends for other fishery species (DPI 2007).
Methods
Research diary anglers targeting black bream (2000/01–2008/09) and dusky flathead (1999/00–2008/09) in Lake Tyers provided a time-series of information on catch rates, size and age composition of the population. Dusky flathead data were compiled using catch information from research and general angler diaries. There were no data collected during 2004/05.
General diary anglers provided information on targeting preference and catch composition for the three years combined (2006/07–2008/09).
Results
BLACK BREAM
Catch rate
Mean catch rates (fish per angler hour) of black bream in Lake Tyers ranged from 0.50 (2000/01) to 4.65 (2006/07) (Figure 14). Over the seven years (2002/03–2008/09) catch rates fluctuated between 1.93 and 4.65.
Length and age composition
Black bream caught in Lake Tyers ranged from 11 to 45 cm TL (Figure 15). Black bream below the LML (26 cm TL) comprised between 6% (2007/08) and 61% (2002/03) of the catch
The LML (26 cm TL) was revised and the new LML of 28 cm TL became effective in March 2009. In 2008/09, black bream below the LML (28 cm TL) comprised 23% of the catch; 18% were below the previous LML (26 cm). The length-frequency distribution of black bream in 2008/09 shows some evidence of pre-recruits below the LML (Figure 15).
Black bream caught by research anglers in Lake Tyers ranged from 1+ to 23+ years of age (Figure 16). Black bream spawned in 1998/99 dominated the catch in 2003/04 (55%), 2005/06 (64%) and 2007/08 (67%). During 2008/09, 66% of the catch comprised fish spawned over two seasons (1998/99 and 1999/00).

Figure 14. Estimated mean catch rates (± 95% confidence limits) of black bream caught by research anglers fishing in Lake Tyers from 2000/01–2008/09.
Figure 15. Length (TL)-frequency distribution of black bream caught by research anglers fishing in Lake Tyers from 2002/03–2008/09 (n=number of fish measured). Fish below the Legal Minimum Length (LML) are indicated by black bars. Fish above the LML are indicated by grey bars.
*The LML for black bream (26 cm) was revised and the new LML of 28 cm TL became effective in March 2009.

Figure 16. Age frequency distribution of black bream caught by research anglers fishing in Lake Tyers from 2003/04–2008/09. The spawning season of abundant year classes have been shaded for tracking specific age cohorts across multiple sampling years.
DUSKY FLATHEAD
Catch rate
Mean catch rates (fish per angler hour) of dusky flathead in Lake Tyers ranged from 0.50 (1999/2000) to 3.80 (2007/08) (Figure 17). Catch rates increased gradually from 1999/00 to 2004/05, then fluctuated over the following four years (2005/06–2008/09).
Length and age composition
Dusky flathead caught in Lake Tyers ranged from 10 to 82 cm TL (Figure 18). Few dusky flathead below the LML (25 cm TL) were caught over the 10-year period (1999/00–2008/09).
The LML (25 cm TL) was revised and the new LML of 27 cm TL became effective in March 2009. During 2008/09, 6% were below the new LML; 5% were below the previous LML (25 cm TL). The proportion of fish ≥ 50 cm TL, caught by research anglers, has declined over the past 10 years (Figure 18a). Fish of this size are predominately female.
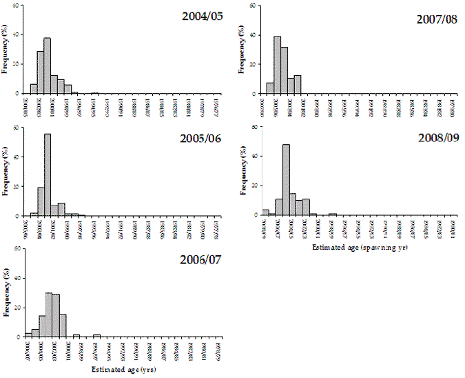
Dusky flathead caught by research anglers in Lake Tyers ranged from 0+ (first year of life) to 10+ years of age (Figure 19). Few fish were older than 6+ years. The majority of the dusky flathead were 2–4 years old. During 2008/09, 73% of fish were 2–4 years old.

Figure 17. Estimated mean catch rates (± 95% confidence limits) of dusky flathead caught by research anglers fishing in Lake Tyers from 1999/00–2008/09.

Figure 18. Length (TL)-frequency distribution of dusky flathead caught by research anglers fishing in Lake Tyers from 1999/00–2008/09 (n=number of fish measured). Fish below the Legal Minimum Length (LML) are indicated by black bars. Fish above the LML are indicated by grey bars.
*The LML for dusky flathead (25 cm) was revised and the new LML of 27 cm TL became effective in March 2009.

Figure 18a. Proportion of dusky flathead ≥ 50 cm TL caught by diary anglers in Lake Tyers from 1998/99–2008/09.

Figure 19. Age frequency distribution of dusky flathead caught by research anglers fishing in Lake Tyers from 2004/05–2008/09.
TARGETING PREFERENCE AND CATCH COMPOSITION, LAKE TYERS.
Summer
General diary anglers targeted black bream (59%), dusky flathead (38%) and luderick (3%) during summer (2006/07–2008/09) in Lake Tyers (Figure 20).
The majority of fish caught during summer were black bream (70%, 33% released) and dusky flathead (27%, 29% released) (Figure 21). Anglers also caught luderick (1%), silver trevally (1%) and tailor (1%).
Autumn
The majority of trips during autumn were spent targeting black bream (75%) (Figure 20). Estuary perch (18%), Australian salmon (4%), tailor (2%) and snapper (2%) were also targeted.
Black bream comprised 76% of the catch, 75% of these were kept (Figure 21). Dusky flathead comprised 21% of the catch, half of these were released. Anglers also caught mullet (<1%), Australian salmon (1%), silver trevally (1%) and tailor (2%).
Winter
Black bream (80%), dusky flathead (7%), luderick (10%) and other species (2%) were targeted during winter (2006/07–2008/09) (Figure 20).
Black bream comprised 80% of the catch, 80% of these were kept (Figure 21). Anglers also caught luderick (12%), dusky flathead (6%), silver trevally (1%), tailor (1%), leatherjacket (<1%). Over 80% of the catch was kept.
Spring
General diary anglers targeted black bream (48%), dusky flathead (36%), luderick (13%) and silver trevally (3%) during spring (2006/07–2008/09) in Lake Tyers (Figure 20).
Anglers caught black bream (46%, 35% released), dusky flathead (35%, 43% released), luderick (15%), silver trevally (4%), tailor (<1%) and leatherjacket (<1%) (Figure 21).

Figure 20. Species targeted by general angler diarists fishing in Lake Tyers from 2006/07–2008/09 (n=number of species targeted).
 Figure
Figure
21. Catch composition of fish caught (kept and released) by general angler diarists fishing in Lake Tyers from 2006/07–2008/09 (n=number of fish caught).
Glenelg Hopkins Fisheries Management Plan
The Glenelg Hopkins Fishery Management Plan (DPI 2006c) identified that detailed information on the fishery was lacking. Fishery management was to remain unchanged and future work was to focus on the monitoring of fishery trends and the status of key target species.
Consequently, the angler diary program was used to assess the status of black bream and estuary perch in the Glenelg and Hopkins River estuaries and mulloway in the Glenelg River estuary.
Methods
Research diary anglers targeted black bream (1997/98–2008/09) and mulloway (1998/99–2008/09) in the Glenelg River estuary and black bream (1997/98–2008/09) and estuary perch (1999/00–2008/09) in the Hopkins River estuary. A time-series of information on catch rates, size and age composition was generated by waterbody and species. Estuary perch were not targeted by research anglers in the Glenelg River estuary.
General diary anglers provided information on targeting preference and catch composition for the three years combined (2006/07–2008/09).
Glenelg River estuary
Black bream
Catch rate
Mean catch rates (fish per angler hour) of black bream in the Glenelg River estuary ranged from 0.49 (1997/98) to 6.81 (2008/09) (Figure 22).
Catch rates were relatively stable (average 0.69) over the 6-year period from 1997/98 to 2002/03. In 2007/08 and 2008/09, much higher catch rates (average 6.18) were observed. There were no data collected from 2003/04 to 2006/07.
Length and age composition
Black bream caught in the Glenelg River estuary ranged from 13 to 47 cm TL (Figure 23). The length composition of black bream differed between the two time periods, 1997/98–2002/03 and 2007/08–2008/09.
Black bream ranged in length from 16 to 47 cm TL during 1997/98–2002/03 and from 13 to 35 cm TL during 2007/08–2008/09. During the past two years (2007/08–2008/09), 82–93% of the catch were below the LML (26 cm TL) compared with 0–30% during 1997/98–2002/03.
The LML (26 cm TL) was revised and the new LML of 28 cm TL became effective in March 2009; 96% of the 2008/09 catch were below the new LML. No large bream (> 35 cm TL) were caught during 2007/08–2008/09, compared with 43% of the 1997/98–2002/03 catch.
Black bream caught in the Glenelg River estuary ranged from 1 to 29 years of age (Figure 24). Spawning success over a 9-year period (1985/86–1993/94) was low. This recruitment failure influenced the size and age structure of the population over time and as a result no bream caught in the two years (2007/08–2008/09) were older than 11 years of age.
Black bream spawned in 1997/98 dominated the catch from 2000/01–2002/03. In 2008/09, the majority of bream (91%) ranged from 1+ to 6+ years. Bream spawned in 2005/06 comprised 51% of the catch.

Figure 22. Estimated mean catch rates (± 95% confidence limits) of black bream caught by research anglers fishing in the Glenelg River estuary from 1997/98–2008/09.

Figure 23. Length (TL)-frequency distribution of black bream caught by research anglers fishing in the Glenelg River estuary from 1997/98–2008/09 (n=number of fish measured). Fish below the Legal Minimum Length (LML) are indicated by black bars. Fish above the LML are indicated by grey bars.
*The LML for black bream (26 cm) was revised and the new LML of 28 cm TL became effective in March 2009.

Figure 24. Age frequency distribution of black bream caught by research anglers fishing in the Glenelg River estuary from 1997/98–2008/09. The spawning season of abundant year classes have been shaded for tracking specific age cohorts across multiple sampling years.
ESTUARY PERCH
Estuary perch were not targeted by research anglers in the Glenelg River estuary during this period.
MULLOWAY
Catch rate
Mean catch rates (fish per angler hour) of mulloway in the Glenelg River estuary ranged from 0.00 (1998/99, 2003/04) to 0.56 (2004/05) (Figure 25). There was large variation surrounding the catch rate estimate in 2002/03.
The catch rate for mulloway in 2008/09 (0.41) was comparable to both the 5- and 10-year average catch rates, 0.31 and 0.28 respectively.
Length and age composition
Mulloway caught in the Glenelg River estuary ranged from 40 to 98 cm TL (Figure 26). The LML (50 cm TL) was revised and the new LML of 60 cm TL became effective in March 2009. In 2008/09, 53% of the catch were below the LML; 4% were below the previous LML (50 cm TL). There was a higher proportion of fish 61–70 cm TL in 2008/09 (33%) compared with 2007/08 (10%).
Mulloway caught in the Glenelg River estuary ranged from 2+ to 6+ years of age (Figure 27). During 2007/08, over 60% of the catch was spawned in 2003/04. All mulloway caught in 2008/09, were spawned over three years (2003/04–2005/06).

Figure 25. Estimated mean catch rates (± 95% confidence limits) of mulloway caught by research anglers fishing in the Glenelg River estuary from 1998/99–2008/09.
*Data in 2002/03 were variable; confidence intervals were beyond the range shown.

Figure 26. Length (TL)-frequency distribution of mulloway caught by research anglers fishing in the Glenelg River estuary from 2007/08–2008/09 (n=number of fish measured). Fish below the Legal Minimum Length (LML) are indicated by black bars. Fish above the LML are indicated by grey bars.
*The LML for mulloway (50 cm TL) was revised and the new LML of 60 cm TL became effective in March 2009.

Figure 27. Age frequency distribution of mulloway caught by research anglers fishing in the Glenelg River estuary from 2007/08–2008/09.
TARGETING PREFERENCE AND CATCH COMPOSITION, GLENELG RIVER ESTUARY.
Summer
General diary anglers targeted mulloway (63%), black bream (22%), estuary perch (6%) and other species (9%) during summer (2006/07–2008/09) in the Glenelg River estuary (Figure 28).
The majority of fish caught during summer were mulloway (50%, 29% released) and black bream (38%, 90% released) (Figure 29). Anglers also caught Australian salmon (8%), Australian bass (3%), estuary perch (1%) and other species (1%).
Autumn
A high proportion of general anglers targeted other species (46%) during autumn (2006/07–2008/09) (Figure 28). Mulloway (33%) and black bream (21%) were also targeted.
Over half (59%) of all fish caught were black bream; 93% of these were released (Figure 29). Anglers also caught Australian bass (22%), mulloway (7%), blackfish (7%), Australian salmon (4%) and other species (1%).
Winter
Mulloway (75%) and black bream (25%) were targeted during winter (2006/07–2008/09); only limited data were available (Figure 28).
Seven mulloway were caught during winter; all fish were kept (Figure 29).
Spring
General diary anglers targeted black bream (40%), mulloway (37%), estuary perch (6%) and other species (17%) during spring (2006/07–2008/09) in the Glenelg River estuary (Figure 28).
Over half of all fish caught during spring were black bream (55%); 86% of which were released (Figure 29).Anglers also caught Australian bass (21%), mulloway (15%), Australian salmon (6%), estuary perch (1%) and mullet (1%).

Figure 28. Species targeted by general angler diarists fishing in the Glenelg River estuary from 2006/07–2008/09 (n=number of species targeted).

Figure 29. Catch composition of fish caught (kept and released) by general angler diarists fishing in the Glenelg River estuary from 2006/07–2008/09 (n=number of fish caught).
Hopkins River estuary
BLACK BREAM
Catch rate
Mean catch rates (fish per angler hour) of black bream in the Hopkins River estuary ranged from 1.26 (1999/00) to 4.71 (2007/08) (Figure 30). Catch rates have increased over the past ten years. The catch rate (3.79) in 2008/09 was similar to the 5-year average (3.86) and higher than the 10-year average (3.11).
Age and length composition
Black bream caught by research diary anglers in the Hopkins River estuary ranged from 12 to 46 cm TL. Black bream below the LML (26 cm TL) comprised between 24% (2000/01) and 65% (2001/02) of the catch (Figure 31). The LML (26 cm TL) was revised and the new LML of 28 cm TL became effective in March 2009. In 2008/09, black bream below the LML (28 cm TL) comprised 68% of the catch; 54% were below the previous LML (26 cm). These pre-recruits, close to the LML, are expected to recruit to the fishery in the next few years.
Black bream caught by research anglers in Hopkins River estuary ranged from 1+ to 27+ years of age. Black bream spawned in 1998/99 dominated the catch from 2001/02–2008/09 (Figure 32). Recruitment of bream spawned in 1991/92 and 1992/93 was low. In 2008/09, black bream spawned in 1998/99 comprised over 40% of the catch.

Figure 30. Estimated mean catch rates (± 95% confidence limits) of black bream caught by research anglers fishing in the Hopkins River estuary from 1997/98–2008/09.

Figure 31. Length (TL)-frequency distribution of black bream caught by research anglers fishing in the Hopkins River estuary from 1997/98–2008/09 (n=number of fish measured). Fish below the Legal Minimum Length (LML) are indicated by black bars. Fish above the LML are indicated by grey bars.
*The LML for black bream (26 cm) was revised and the new LML of 28 cm TL became effective in March 2009.

Figure 32. Age frequency distribution of black bream caught by research anglers fishing in the Hopkins River estuary from 1997/98–2008/09. The 1998/99 spawning season has been shaded for tracking across multiple sampling years.
ESTUARY PERCH
Catch rate
Mean catch rates (fish per angler hour) of estuary perch in the Hopkins River estuary ranged from 0.41 (2001/02) to 3.18 (2000/01). Catch rates were relatively stable (approx 0.87) apart from 2000/01 when the catch rate increased (Figure 33).
Length and age composition
Estuary perch caught by research diary anglers in the Hopkins River estuary ranged from 12 to 50 cm TL. Estuary perch below the LML (25 cm TL) comprised between 1% (2000/01) and 56% (1998/98) of the catch (Figure 34).
The length-frequency distribution of estuary perch in 2008/09 shows evidence of pre-recruits close to the LML expected to recruit to the fishery in the next few years (Figure 34). The LML (25 cm TL) was revised and the new LML of 27 cm TL became effective in March 2009. In 2008/09, estuary perch below the LML (27 cm TL) comprised 67% of the catch; 42% were below the previous LML (25 cm TL).
Estuary perch caught by research anglers in Hopkins River estuary ranged from 2+ to 26+ years of age. In 2008/09, the majority of the catch (72%) were spawned in four years (1998/99, 2002/03, 2003/04 and 2004/05) (Figure 35).

Figure 33. Estimated mean catch rates (± 95% confidence limits) of estuary perch caught by research anglers fishing in the Hopkins River estuary from 1999/00–2008/09.

Figure 34. Length (TL)-frequency distribution of estuary perch caught by research anglers fishing in the Hopkins River estuary from 1998/99–2008/09 (n=number of fish measured). Fish below the Legal Minimum Length (LML) are indicated by black bars. Fish above the LML are indicated by grey bars.
*The LML for estuary perch (25 cm) was revised and the new LML of 27 cm TL became effective in March 2009.

Figure 35. Age frequency distribution of estuary perch caught by research anglers fishing in the Hopkins River estuary 2007/08–2008/09. The spawning season of abundant year classes have been shaded for tracking specific age cohorts across multiple sampling years.
TARGETING PREFERENCE AND CATCH COMPOSITION, HOPKINS RIVER ESTUARY.
Summer
General diary anglers targeted black bream (57%) and estuary perch (42%) during summer (2006/07–2008/09) in the Hopkins River estuary (Figure 36). Other species were targeted 1% of the time.
The majority of fish caught during summer were black bream (53%, 88% released) and Australian salmon (28%, 92% released) (Figure 37). Anglers also caught estuary perch (13%, 80% released), yellow-eye mullet (6%) and mullet (1%). Over 87% of the catch was released.
Autumn
Black bream (68%) and estuary perch (32%) were targeted during autumn (2006/07–2008/09) (Figure 36).
The majority of fish caught were black bream (86%); 80% of which were released. Anglers also caught Australian salmon (8%), estuary perch (3%) and yellow-eye mullet (2%) (Figure 37).
Although 32% of trips were spent targeting estuary perch, they contributed to only 3% of the catch.
Winter
Black bream (95%) and estuary perch (5%) were targeted during winter (2006/07–2008/09) (Figure 36).
Of the 78 fish caught, 88% were black bream; 83% of which were released (Figure 37). Anglers also caught Australian salmon (8%) and estuary perch (4%). Over 83% of the catch was released.
Spring
General diary anglers targeted black bream (51%) and estuary perch (49%) during spring (2006/07–2008/09) in the Hopkins River estuary (Figure 36).
Although Australian salmon were not targeted during spring, they contributed to almost half (43%) of the catch (Figure 37). All Australian salmon were released. Anglers also caught estuary perch (37%, 42% released), black bream (17%, 92% released) and yellow-eye mullet (3%). Over 75% of the catch was released.

Figure 36. Species targeted by general angler diarists fishing in the Hopkins River estuary from 2006/07–2008/09 (n=number of species targeted).

Figure 37. Catch composition of fish caught (kept and released) by general angler diarists fishing in the Hopkins River estuary from 2006/07–2008/09 (n=number of fish caught).
Discussion
The research angler diary programs prescribed as part of the implementation of the Anderson Inlet, Mallacoota Inlet, Lake Tyers and the Glenelg and Hopkins River Fishery Management Plans (FMPs), provided a time-series of information on catch rates, length and age structure of the target population, the relative strength of successive year classes, and patterns of recruitment to the fishery. This information is used for stock assessment purposes to determine the status of key fish stocks to ensure they are conserved and fished at sustainable levels.
The general angler diary program has greater flexibility, allowing anglers to vary their target species preferences in response to changes in availability of fish species. Monitoring targeting preferences and catch composition of general diary anglers over time, provides supplementary information to the findings from periodic access point surveys. In years when access point creel surveys are conducted, there is an opportunity to compare results from general angler diarists with a survey of broader angler community. Anglers who choose to contribute to an angler diary program are by their very nature different to anglers in the wider community and may have different species fishing preferences.
In this study, the comparison between access point surveys and general angler diarists in Mallacoota Inlet showed similar targeting behaviour, while for Anderson Inlet the angler diarist species preferences differed from anglers surveyed. Access point surveys have been recently completed in Lake Tyers and the Hopkins River estuary and will be compared in future reports.
Angler diary programs are an innovative, cost effective and valuable method of monitoring key species in recreational fisheries. Angler diary programs rely on volunteer anglers to report on their fishing activities and have been frequently used in fisheries around the world, to provide information on catch and effort (Eg. Bray and Schramm 2001, Gerdeaux and Janjua 2009, Mosindy and Duffy 2007, Sztramko et al. 1991).
Advantages of angler diary programs include:
- Data can be obtained economically (Sztramko et al. 1991; Mosindy and Duffy 2007)
- A large amount of data can be provided for a fishery that may otherwise be difficult to monitor using standard assessment methods (Mosindy and Duffy 2007)
- Useful in reflecting long-term trends of angling success (Sztramko et al. 1991)
- Reliability for providing biological data (Ebbers 1987)
- Encourage volunteer participation and resource stewardship (Mosindy and Duffy 2007)
- Diaries are based on completed trips which can provide better estimates of angling effort, catch and catch rates (Mosindy and Duffy 2007)
- The ability to target specific anglers in the population (Mosindy and Duffy 2007).
Mosindy and Duffy (2007) also suggested that angler diaries may generate data that are often more accurate than data collected from standard creel surveys.Potential disadvantages of the angler diary program may result as the information is self-reported. Anglers may exaggerate their catch or fail to report unsuccessful trips, resulting in overestimation of angler catch rates (Bridge and Conron 2010; Mosindy and Duffy 2007; Cookeet al.
2000). Errors may be made when identifying species, measuring or weighing fish, and there may be a reluctance to accurately report information including locations, lure types and techniques.
To minimise the likelihood of these errors, the research needs and importance of data collected, including how and why data needs to be recorded in a particular way, needs to be clearly communicated to anglers as well as assurance of confidentiality (Mosindy and Duffy 2007).In a review of 46 angler diary programs, Cooke
et al.(2000) found the success and effectiveness of angler diary programs is often linked to the level of agency support, effective implementation and high quality angler participation.
Angler diarists contributing to the Victorian angler diary programs are regularly contacted to check on their progress, to give their support and to receive feedback on the program. All anglers also receive newsletters on current angler diary programs and outcomes from the programs and are asked
  to participate in relevant stock assessment meetings. Research anglers are given extra support as they are a smaller, more select group of expert anglers who need more direction as they are required to change their fishing techniques and locations to target the whole size range of the population with
  the focus of assessing fish stocks.
Where research anglers are unable to sample the complete size range of species (e.g. undersize dusky flathead and estuary perch), information on the abundance of small juveniles of these species may have to be obtained using other scientific sampling methods (e.g. netting).
The results presented in this report emphasize the value of monitoring key recreational species using the angler diary program. The information collected better informs fisheries managers to enable them to assess the status of key stocks to ensure sustainable fishing.
Discussions of the key findings for individual estuaries are as follows:
Anderson Inlet
The angler diary program was used to identify, monitor and determine the status of key target species in Anderson Inlet.
Anglers recruited as general angler diarists had a narrower range of preferred target species than the general Anderson Inlet angler population, as indicated by a comparison with the results of a 2007/08 recreational fishing access point survey (Conronet al.2010). Estuary perch, snapper and silver trevally were important target species for general angler diarists, but were only minor target species for Anderson Inlet anglers in general. The variety of species caught by general angler diarists, and the proportion of fish released, was more consistent with that for the broader Anderson Inlet angler population. Additional general angler diarists targeting King George whiting and flathead would be beneficial to the monitoring program. The Anderson Inlet FMP suggested estuary perch were the highest profile target fish species and, as they spend their entire life cycle in estuaries like Anderson Inlet, their abundance is likely to be determined almost entirely by environmental and/or fishing factors in the inlet (DPI 2006a). During the period 2005/06 to 2008/09, mean catch rates of research and general angler diarists targeting estuary perch in Anderson Inlet were comparatively stable in the range of 3–5 fish per angler hour. Catch measurements indicate a wide size and age range of estuary perch, including a substantial portion of fish more than 10 years old or 35cm in TL. There is also some evidence of pre-recruits, below the LML, that are expected to recruit to the fishery in the next few years. Further evidence of strong year classes of juvenile estuary perch is provided by a separate scientific survey of Anderson Inlet fish populations undertaken in 2006/07 (Conron
et al.2010).
These data suggest that the Anderson Inlet estuary perch population is currently in a healthy condition, but a longer time series of data is needed to better understand the range of fluctuations in the stock status of this species and to improve confidence in the use of these data for fishery
  management decision making.
Mallacoota Inlet
During 1997/98 to 2008/09, mean catch rates of research anglers targeting black bream in Mallacoota Inlet ranged from 2 to 5 fish per angler hour. The catch rate was variable but stable and influenced by the strength of abundant year classes (resulting from successful spawning seasons) in the fishery.
These data suggest that the Mallacoota Inlet black bream population is currently in a healthy condition. Black bream are characterised as having variable year class strength with variable recruitment of abundant year classes. These abundant year classes contribute greatly to the fishery. Black bream catch rates are therefore expected to fluctuate more than for fish species characterised by a more constant level of annual recruitment.
Catch measurements show a wide size and age range of black bream in Mallacoota Inlet and indicate a constant moderate level of recruitment has occurred over the past 11 years, marked with occasional years of greater spawning success. Pre-recruits below the LML (28 cm TL) in 2008/09, suggest a moderate level of recruitment to the fishery over the next few years.
The size composition of black bream reported by diarists suggests that anglers are effective in catching black bream below the LML (28 cm TL). This information on the abundance of small juvenile black bream enables predictions to be made about future recruitment to the fishery.
During 1998/99 to 2008/09, mean catch rates of research and general angler diarists targeting dusky flathead in Mallacoota Inlet were comparatively stable with greater variability in the past 5 years. The mean catch rate (fish per angler hour) in 2008/09 (4) was comparable to the 5-year average (3) and higher than the 10-year average (2). Dusky flathead are a faster growing, shorter lived species compared with black bream. Dusky flathead ranged in length from 17 to 80 cm TL and in age from 1+ to 10+ years; the majority of fish caught during 2007/08–2008/09, were 3+ to 5+ years old.
The size composition of dusky flathead reported by diarists suggests that the effectiveness of angling in catching dusky flathead starts to diminish at sizes below 30 cm TL, and very few fish below 25 cm TL were recorded. If information on the abundance of small juvenile dusky flathead is required it may therefore have to be obtained using other scientific sampling methods.
Access point surveys undertaken in Mallacoota Inlet indicated that the proportion of large dusky flathead (> 50 cm TL) being caught has declined substantially in the past few years, accompanied by a decline in the overall average size of fish caught by anglers. This trend has occurred despite evidence of reasonably strong 2003/04 and 2004/05 year classes supporting the fishery and relatively stable catch rates. While this declining trend in large flathead may be attributable to variable reproductive success and recruitment in past years, it is more likely to be due to increased targeted fishing pressure on large flathead in recent years.
Anglers recruited as general angler diarists predominantly targeted black bream and dusky flathead in Mallacoota Inlet, as did the general Mallacoota Inlet angler population, as indicated by a recreational fishing access point survey undertaken in December 2006–October 2008 (Kentet al.2010). During the summer period a range of other species were also targeted on occasion.
Lake Tyers
The angler diary program is used to assess the status of black bream and dusky flathead stocks in Lake Tyers and to monitor catch composition and trends for other fishery species.
During 2002/03 to 2008/09, mean catch rates of research anglers targeting black bream in Lake Tyers were comparatively stable and ranged from 2 to 5 fish per angler hour. Mean catch rates in 2008/09 were comparable with both the 5- and 10-year average catch rates.
The length (11–45 cm TL) and age (1–23 years) distributions of black bream in Lake Tyers indicate there has been two abundant year classes which resulted from successful spawning seasons in 1998/99 and 1999/2000. These year classes have sustained the black bream fishery in Lake Tyers over the past seven years.
The progression of these year classes can be tracked through the length-frequency distribution over time. In 2002/03, the population was dominated by fish below the LML (61%) with few fish above 30 cm TL (7%). In comparison, during 2008/09, the majority of fish were above 30 cm TL (57%) with fewer black bream below the LML (18%). This size distribution is consistent with a fish population that periodically has relatively good recruitment, and is not subject to excessive fishing pressure.
Spawning and recruitment of black bream in Lake Tyers has not been as successful since the 1999/00 spawning season. During 2008/09, the majority of black bream were greater than 30 cm TL, and more than 8 years old. Catch rates are expected to decline in the next few years as the 1999/00 year class has now been in the fishery for 5 years and there is no evidence of the next abundant year class. The majority of bream are currently above the LML and there is a higher probability of catching a large bream at present than there was six years ago.
During 1999/00 to 2004/05, mean catch rates of research and general anglers targeting dusky flathead increased in Lake Tyers. Mean catch rates then fluctuated over the following four years. The mean catch rate in 2008/09 was lower than the 5-year average and similar to the 10-year average. Dusky flathead are a fast growing shorter lived species. The majority of fish were 2+ to 4+ years of age; few fish were older than 6+ years.
Over the past 10 years, there has been a decline in the proportion of larger dusky flathead (≥ 50 cm TL) in Lake Tyers. The majority of these larger fish are female. This trend has occurred despite evidence of reasonably strong year classes over recent years (2001/02–2005/06) supporting the fishery and relatively stable catch rates. While this declining trend in large flathead may be attributable to variable reproductive success and recruitment in past years, it is more likely to be due to increased targeted fishing pressure on large flathead in recent years.
Further analysis of data collected from access point surveys will provide a better understanding of fishing pressure and will be assessed as part of the Lake Tyers Fisheries Management Plan report.
This reduction in larger female flathead may be cause for concern as although the number of eggs produced by female dusky flathead in Victoria is unknown, larger fish are capable of producing more eggs than smaller fish. A recent NSW study found that although females grow faster and reach a larger maximum length than males, they take longer to reach maturity. In NSW, 50% of females reached maturity at approximately 56 cm TL and 4.5 years (Gray and Barnes 2008).
If Victorian and NSW fish mature at similar rates, large females are being removed from the fishery before they reproduce. This reduction in large females may in turn impact the spawning success and future recruitment of dusky flathead to the fishery. Further research into sexual maturity and egg production of female dusky flathead in eastern Victorian estuaries is needed to better understand the biology of this species.
Black bream were targeted most frequently by general diary anglers in Lake Tyers over the past three years. Dusky flathead, luderick, Australian salmon, tailor, snapper and silver trevally were also targeted at times. Black bream and dusky flathead were the most common species caught, accounting for over 80% of the catch. The majority black bream (72%) and dusky flathead (66%) were kept.
Glenelg River estuary
The angler diary program was used to assess the status of black bream, estuary perch and mulloway stocks in the Glenelg River estuary and to monitor catch composition and trends for other fishery species.
Black bream catch rates were higher in the past two years (2007/08–2008/09) compared with the 6-year period (1997/98–2002/03). No data are available from 2003/04 to 2006/07.
The change in catch rates is a reflection of changes that occurred in the black bream population over time. During 1985/86 to 1993/94, there was poor spawning success of black bream in the Glenelg River estuary. This recruitment failure influenced the size and age composition of the population. During 1997/98 to 1998/99, the stock was characterised by larger fish spawned prior to 1985/86 with few smaller bream present. As spawning success increased in latter years, there were mainly smaller fish with few larger bream present.
In 2008/09, over 90% of bream were undersize (LML 28 cm) and bream spawned in 2005/06 contributed to over half of all fish caught by research anglers. Although catch rates have increased in the past two years, the majority of fish caught are undersize and have to be released. The size and age composition data suggest that there will be more bream above the LML in the next 1–2 years when fish from the abundant 2005/06 year classes reach legal size.
Catch rates of mulloway are relatively low compared with other species, with one fish caught every three hours on average. The catch rate in 2008/09 was comparable with the 5 and 10 year averages. Data were not available for all years.
The length (40–98 cm TL) and age (2–6 years) distributions of mulloway from 2007/08 to 2008/09 indicate that mulloway are a fast growing fish with few year classes present in the fishery at any time. Few undersize fish were caught in either year and sample sizes were low due to the nature of the fishery.
Estuary perch were not targeted by research anglers. Although estuary perch were identified as a key species in the management plan, few general anglers chose to target them (6% of trips during summer and spring). Estuary perch contributed to 1% of the catch, all of which were released. Further research is needed to investigate whether estuary perch are a key species of the Glenelg River estuary and if so, future monitoring is required to determine the status of this species in the fishery.
The majority of trips undertaken by general diary anglers in the past three years were spent targeting mulloway and black bream. Apart from black bream and mulloway, anglers also caught Australian bass, Australian salmon, blackfish, mullet and estuary perch.
Hopkins River estuary
The angler diary program was used to monitor the trends of black bream and estuary perch in the Hopkins River estuary.
Catch rates of black bream have increased over the past 10 years. This has been influenced by the strength of the 1998/99 successful spawning season. These fish are currently 10 years old and approximately 24–35 cm TL. These fish will continue to contribute to the fishery over the coming years.
The length (12–46 cm TL) and age (1–27 years) distributions of black bream from 1997/98 to 2008/09 indicate that spawning success of black bream in the Hopkins River estuary has remained fairly constant with the exception of the abundant year class spawned in 1998/98. There has been a constant level of pre-recruits (below the LML) over the past 12 years. In 2008/09, 84% of black bream were below the LML (28 cm TL). These fish are expected to recruit to the fishery in the next few years.
Estuary perch catch rates were variable but stable during 1999/00 to 2008/09. The length (12–50 cm TL) and age (2–26 years) distributions of estuary perch indicate that estuary perch are a relatively long lived species. In 2008/09, the majority of estuary perch were below the revised LML (27 cm TL) and 4–6 years of age. These fish are expected to recruit to the fishery in the next few years.
Black bream and estuary perch were targeted by general diary anglers in the Hopkins River estuary over the past three years. The majority (>75%) of all fish caught, including bream and estuary perch, were released. The high release rate resulted from the high proportion of black bream and estuary perch currently below the LML.
Conclusions
This report presents a time-series of information on fishery trends and the status of key target species fish stocks from angler diary programs in Anderson Inlet, Mallacoota Inlet, Lake Tyers and the Glenelg and Hopkins River estuaries as required by FMPs.
The results presented in this report emphasize the value of monitoring key recreational species using the angler diary program. The information collected better informs fisheries managers to enable them to assess the status of key stocks to ensure sustainable fishing.
The angler diary programs are an inexpensive and effective tool for obtaining time-series data for key species in our fisheries. Research anglers provide fishery managers with catch rates, length and age structure of the stock, levels of recruitment and year class strength. General anglers provide information on targeting trends and catch composition data for other fishery species.
This information, which is collected year round, can be used to review current management regulations and predict future catch trends in the fishery.
These results will provide feedback to the anglers involved to indicate the value and usefulness of the program and to encourage further participation in the program.
Acknowledgements
This project was funded jointly by the Recreational Fishing Licence Trust Fund using Recreational Fishing Licence fees and Fisheries Victoria (Projects 5/05/06/1, 06/07/3 and 07/08/14).
Thanks to the volunteer anglers who generously return records of their fishing: Lynton Barr, Justin Bell, Lex Blythman, Ken Bradley, Glenda Brain, Sean Brodie, Stan Dumbleton, Chris Burbidge, Kevin Cahill, Chris Chipperfield, Don Collins, Eddie Coronado, Wally De Lange, Jason Deenen, Kevin Dyson, Richard Emmerson, Martin Fellows, Glen Foster, Allan Gee, Ray Goding, Mal Gough, Colin Hannah, John Harrison, Brett Hoare, Carl Hodgkins, Bruce Holding, Don Howe, Neil Humphries, Peter Jewell, Michael Kincad, Mike Kirwin, Sing Ling, Andrew Maguire, Sue McCracken, Peter McDiarmid, Graeme Merryful, Ken Millican, Marjie Millen, Stephen Mitchell, Barry Norris, Peter Nyikos, Russell Patterson, Ken Pearson, Ken Radley, Lee Rayner, Frank Richards, Allan Rodgers, Robert Schroader, Darryl Scott, Barry T Smith, Peter Spehr, Kevern Sutton, Alby Thomas, Brain Thomas, Trenton Tobias, Tony Van Kempen, David Walsh, Fred Wilson and John Wood.
Thanks to Pam Oliveiro, Katrina Halse and Tina Whillock for data editing and entry.
Thanks to Dr Murray MacDonald, Dr Leanne Gunthorpe, Mr Jon Presser and Professor David Galloway for comments on this report.
References
Bray, G.S. and Schramm Jnr, H.L. (2001). Evaluation of a statewide volunteer angler diary program for use as a fishery assessment tool.North American Journal of Fisheries Management21, 606–615.
Bridge, N. and Conron, S. (2010). State-wide Angler Fishing Diary Program. Final Report Project number:R/03/04/05. Primary Industries Research Victoria, Queenscliff, Victoria.
Conron, S., Kent, J. and Hindell, J. (2010). Recreational fishery monitoring and fish habitat research needed to facilitate management of the Anderson Inlet Fisheries Reserve. Project Number 5/05/06/1. Recreational Fishing Grant Program Final Report, DPI, Victoria.
Cooke, S.J., Dunlop, W.I., MacClennan, D. and Power, G. (2000). Applications and characteristics of angler diary programmes in Ontario, Canada. Fisheries Management and Ecology 7, 473–487.
Department of Primary Industries (2006a). Anderson Inlet Fisheries Reserve Management Plan – 2006. Fisheries Victoria Management Report Series No. 28.
Department of Primary Industries (2006b). Mallacoota Inlet Fisheries Reserve Management Plan 2006. Fisheries Victoria Management Report Series No. 36.
Department of Primary Industries (2006c). Glenelg Hopkins Fishery Management Plan 2006. Fisheries Victoria Management Report Series No. 42.
Department of Primary Industries (2007). Lake Tyers Fisheries Management Plan 2007. Fisheries Victoria Management Report Series No. 43.
Ebbers, M.A. (1987). Vital statistics of a largemouth bass population in Minnesota from electrofishing and angler-supplied data. North American Journal of Fisheries Management 7, 252–259.
Gerdeaux, D. and Janjua, M.Y. (2009). Contribution of obligatory and voluntary fisheries statistics to the knowledge of whitefish population in Lake Annecy (France). Fisheries research 96, 6–10.
Gray, C.A. and Barnes, L.M. (2008). Reproduction and growth of dusky flathead (Platycephalus fuscus) in NSW estuaries. NSW Department of Primary Industries. Fisheries Final Report Series No. 101.
Jones, C.M., Robson, D.S., Lakkis, H.D. and Kressel, J. (1995). Properties of catch trends used in analysis of angler surveys. Transactions of the American Fisheries Society 124, 911–928.
Kent, J., Hindell, J. and Conron, S. (2010). Implementation of management plan for Mallacoota Inlet – study of the fishery and habitat, Recreational Fisheries Grant Program Final Report. DPI, Victoria.
Morison, A.K., Robertson, S.G. and Smith, D.C. (1998). An integrated system for production fish ageing: Image analysis and quality assurance. North American Journal of Fisheries Management 18, 587–598.
Mosindy, T.E. and Duffy, M.J. (2007). The use of angler diary surveys to evaluate long-term changes in muskellunge populations on Lake of the Woods, Ontario. Environ Biol Fish 79, 71–83.
SAS Institute Inc. 2004. SAS/STAT® 9.1 User's Guide. Cary, NC: SAS Institute Inc.
Sztramko, L.K., Dunlop, W.I., Powell, S.W. and Sutherland, R.G. (1991). Applications and benefits of an angler diary program on Lake Erie. American Fisheries Society Symposium 12, 520–528.
Appendix 1 Angler fishing diaries
General angler diary

Research angler diary

 
